我是邢帅第一人(考证满分100分),吓得我证书变色了....

头像
HuRui
2017-01-21 11:14:09

明天快回家了,怕塞车,所以废话不多说越努力,越幸运),上图,不服来战!

b1719a089188818db8998aee5cfa65e3002.png

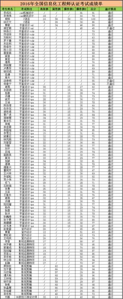
下面是成绩单,从上往下数,第三个就行,看到没,看到没,那火腿+鸡蛋 --- 100分

c3905dd06456f3926e262ca6de85f77c001.jpg

这么帅,这么厉害,咋就还没“嫁”出去....唉,说多了都是泪..........

吓得我证书都变色了,我了个去...........

0362fe2cf82e368d84152b9ea1751e17001.jpg

从此踏上专业装b路,老司机开车了,持证上岗哈,手快点赞,带你飞哦!


                          点赞有惊喜!    擢下面

                                     ↓

                         Thanks!




全部回复
正序查看
头像
HuRui

B_109.gif大过年,沙发是我自己的....

2017-01-21 11:15:18
...
头像
赫敏
你应该下来,沙发让我们坐才对B_86.gifB_86.gifB_86.gif
2017-01-21 12:51:06
...
头像
小熊猫

B_09.gif厉害了!

2017-01-21 11:16:28
...
头像
HuRui
见笑了见笑了,来,2017,17(一起)飞
2017-01-21 11:24:42
...
头像
10班-深圳-丑丑

B_77.gif老司机,我来了,抢个地板,快开车吧.....好急

2017-01-21 11:22:07
...
头像
HuRui
bi。。。bi。。。前面那胖子,让让,我和我的小伙伴要起飞了..........
2017-01-21 11:27:44
...
头像
不准调戏我

哇塞,还有这种证,我能说我的C给挂科了吗?

2017-01-21 11:38:34
...
头像
HuRui
我不信,不信,不准调戏我哦.....
2017-01-21 13:27:28
...
头像
不准调戏我
后来我就做了个C++的项目,你信吗
2017-01-21 14:39:37
...
头像
HuRui
这游戏不好玩,呜呜,你又调戏我....
2017-01-23 20:56:53
...
头像
邢帅教育-小杨
这个玩笑好冷。
2017-01-26 23:58:07
...
头像
HuRui
冬天不冷就怪了
2017-01-27 07:52:35
...
头像
邢帅教育-小杨
冬天应该暖心暖意
2017-01-27 16:41:49
...
头像
菜菜菜菜

B_77.gif

2017-01-21 12:08:49
...
头像
HuRui
谢谢同学鼓励
2017-01-21 13:27:02
...
头像
菜菜菜菜
曾经以为自已也是一个程序员
2017-01-21 15:20:45
...
头像
菜菜菜菜
历害,WORD哥
2017-01-21 15:20:55
...
头像
HuRui
见笑了,大家一起学习交流
2017-01-23 20:43:19
...
头像
菜菜菜菜
历害。。。。
2017-01-23 21:50:50
...
头像
赫敏

B_05.gifB_05.gifB_05.gifB_05.gifB_05.gifB_05.gif

2017-01-21 12:50:29
...
头像
HuRui
快来快来,等你
2017-01-21 13:26:47
...
头像
赫敏
B_13.gif
2017-01-21 20:07:28
...
头像
菜菜菜菜

B_105.gif

2017-01-21 15:21:03
...
头像
黄家鑫勇

努力必有成果

2017-01-21 17:02:04
...
头像
HuRui
是的,越努力,越幸运
2017-01-23 20:47:58
...
头像
醉青春

腻害

2017-01-21 17:04:13
...
头像
HuRui
没有,朋友见笑了
2017-01-23 20:48:17
...
头像
安知非异

666

2017-01-21 19:20:00
...
头像
HuRui
侥幸,侥幸。。。
2017-01-23 20:48:43
...